Все практические работы присылаются по адресам:
mashen93@yandex.ru
mashen931@gmail.com
1. Калорийность обеда
2. Построение диаграмм
3. Построение графиков
1. Калорийность обеда
Продумайте структуру и создайте таблицу (в программе Microsoft Excel) для решения следующей задачи:
Из одного грамма углеводов человек получает 4,1 ккал, из одного грамма жиров — 9,3 ккал, из одного грамма белков — 4 ккал.
- Порция борща со свежей капустой содержит 3,6 г белков, 12 г жиров и 24 г углеводов.
- Порция гуляша — 24,3 г белков, 24 г жиров, 7 г углеводов.
- Порция картофеля с маслом — 2,7 г белков, 7 г жиров и 39 г углеводов.
- Порция компота из свежих фруктов содержит 0,4 г белков, 36 г углеводов, не содержит жиров.
Сколько энергии вы получите:
- отдельно из белков, жиров и углеводов, содержащихся в каждом блюде;
- из каждого блюда;
- отдельно из белков, жиров и углеводов, входящих в обед;
- из всего обеда?
2. Введите необходимые формулы с абсолют ными ссылками и проведите по ним расчеты.
3. Сохраните таблицу и пришлите её по электронной почте по адресам:
mashen93@yandex.ru
mashen931@gmail.com
2. Построение диаграмм И ДЛЯ 6 КЛАССА
Варианты скачать>>
3. Построение графиков
Вариант 1. Решить графически систему уравнений 
на интервале [-10;10] с шагом 0,5.
Для этого заполнить таблицу и по данным трех столбцов x, y1 и y2 построить точечную диаграмму. Решение записать.
Вариант 2. Решить графически систему уравнений

на интервале [-5;3] с шагом 0,2.
Для этого заполнить таблицу и по данным трех столбцов x, y1 и y2 построить точечную диаграмму. Решение записать.
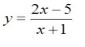
Вариант 3.
Построить график функции
на интервале [-10;10] с шагом 0,5 .
(Учесть область определения функции)
Вариант 4. Решить графически систему уравнений
на интервале [-5;2] с шагом 0,1
Для этого заполнить таблицу и по данным трех столбцов x, y1 и y2 построить точечную диаграмму. Решение записать.
Вариант 5. Решить графически систему уравнений
на интервале [0;7] с шагом 0,1
Для этого заполнить таблицу и по данным трех столбцов x, y1 и y2 построить точечную диаграмму. Решение записать.
Вариант 6. Решить графически систему уравнений
на интервале [-1;1] с шагом 0,05
Для этого заполнить таблицу и по данным трех столбцов x, y1 и y2 построить точечную диаграмму. Решение записать.
Вариант 7.
Построить график функции
на интервале [-10; 10] с шагом 1 .
(Учесть область определения функции
)
Вариант 8.
Построить график функции
на интервале [-1; 1] с шагом 0,1 .